Hiroyuki Furuta Soji Shimizu
2001 - 2005
(2005)
| "Spectroelectrochemical Behaviour of Doubly N-Confused Dioxohexaphyrins"
Mayer, I.; Nakamura, K.; Srinivasan, A.; Furuta, H.; Araki, K. J. Porphyrins Phthalocyanines 2005, 9, 813-820 [Link] | ![]() |
| "Re(VII) Complex of N-Fused Tetraphenylporphyrin"
Toganoh, M.; Ikeda, S.; Furuta, H. Chem. Commun. 2005, 4589-4591 [Link] | ![]() |
| "N-Confused Porphine"
Morimoto, T.; Taniguchi, S.; Osuka, A.; Furuta, H. Eur. J. Org. Chem. 2005, 3887-3890 [Link] | ![]() |
| "Recent Development of a Porphyrin Mutant–N-Confused Porphyrin" Ishizuka, T.; Furuta, H. J. Organosynth. Chem. 2005, 63, 211-221. [Link] | ![]() |
| "Confusion Approach in the Porphyrinoid Chemistry"
Srinivasan, A.; Furuta, H. Acc. Chem. Res. 2005, 38, 10-20 [Link] | ![]() |
| "Rhenium Complexes of N-Methyl N-Confused Tetraphenylporphyrin and Its Normal Isomer"
Toganoh, M.; Furuta, H. Chem. Lett. 2005, 34, 1034-1035 [Link] | ![]() |
| "N-Fused Pentaphyrins and their Rhodium Complexes: Oxidation-Induced Rhodium Rearrangement"
Mori, S.; Shin, J.-Y.; Shimizu, S.; Ishikawa, F.; Furuta, H.; Osuka, A. Chem. Eur. J. 2005, 11, 2417-2425 [Link] | ![]() |
| "Synthesis of Supramolecular Conjugates Based on Porphyrin and Fullerene"
Toganoh, M; Furuta, H. in Nanomaterial Handbook, (Ed. Kunitake, T.), NTS (Tokyo), 2005, 566-570 | ![]() |
(2004)
| "Synthesis and Properties of Rhenium Tricarbonyl Complex Bearing N-Fused Tetraphenylporphyrin Ligand"
Toganoh, M.; Ishizuka, T.; Furuta, H. Chem. Commun. 2004, 2464-2465 [Link] | ![]() |
| "Inverted N-Confused Porphyrin Dimer"
Ishizuka, T.; Osuka, A.; Furuta, H. Angew. Chem. Int. Ed. 2004, 43, 5077-5081 [Link] | ![]() |
| "N-Confused Porphyrins as New Scaffolds for Supramolecular Architecture"
Maeda, H.; Furuta, H. J. Porphyrins Phthalocyanins, 2004, 8, 67-75 [Link] | ![]() |
| "Doubly N-Confused Pentaphyrin"
Srinivasan, A.; Ishizuka, T.; Maeda, H.; Furuta, H. Angew. Chem. Int. Ed. 2004, 43, 2951-2955 [Link] | ![]() |
| "Photochemistry of Doubly N-Confused Porphyrin Complexes Bonded to
Non-Conventional High Oxidation State Ag(III) and Cu(III) Ions"
Engelmann, F. M.; Mayer, I.; Araki, K.; Toma, H. E.; Baptista, M. S.; Maeda, H.; Osuka, A.; Furuta, H. J. Photochem. Photobiol. A, 2004, 163, 403-411 [Link] | ![]() |
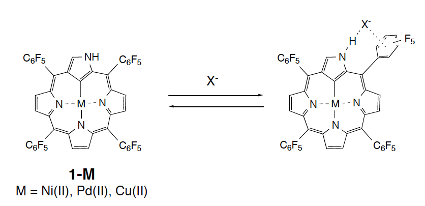
| "Anion Binding Properties of N-Confused Porphyrins at the Peripheral Nitrogen"
Maeda, H.; Osuka, A.; Furuta, H. J. Incl. Phenom. 2004, 49, 33-36. [Link] | ![]() |
| "Structures and Ligand Exchange of N-Confused Porphyrin Dimer Complexes with Group 12 Metals"
Furuta, H.; Morimoto, T.; Osuka, A. Inorg. Chem. 2004, 43, 1618-1624 [Link] | ![]() |
| "Synthesis of A2B2 Type cis-Doubly N-Confused Porphyrins
from N-Confused Dipyrromethanes"
Maeda, H.; Osuka, A.; Furuta, H. Tetrahedron 2004, 60, 2427-2432 [Link] | ![]() |
| "Adlayer Structure of and Electrochemical O2 Reduction on Cobalt
Porphine-Modified and Cobalt Octaethylporphyrin-Modified Au(III) in HClO4"
Yoshimoto, S.; Inukai, J.; Tada, A.; Abe, T.; Morimoto, T.; Osuka, A.; Furuta, H.; Itaya, K. J. Phys. Chem. B, 2004, 108, 1948-1954 [Link] | ![]() |
| "Doubly N-Fused Pentaphyrin"
Srinivasan, A.; Ishizuka, T; Furuta, H. Angew. Chem. Int. Ed. 2004, 43, 876-879 (VIP) [Link] | ![]() |
| "2,3-Dipyrrolylquinoxaline-based Anion Sensors"
Sessler, J. L.; Andrioletti, B.; Anzenbacher, P. Jr.; Black, C.; Eller, L.; Furuta, H.; Jursikova, K.; Maeda, H.; Marquez, M.; Mizuno, T.; Try, A Fundamentals and Applications of Anion Separations, Singh, R. P.; Moyer, B. A., Eds. Kluwer Academic/Plenum Publishers: New York, 2004, pp 71-85. | ![]() |
(2003)
| "Trans-Doubly N-Confused Porphyrins: Cu(III) Complexation and Formation
of Rod-like Hydrogen Bonding Networks"
Maeda, H.; Osuka, A.; Furuta, H. J. Am. Chem. Soc. 2003, 125, 15690-15691 [Link] | ![]() |
| "Control of Cu(II) and Cu(III) States in N-Confused Porphyrin by Protonation/Deprotonation
at the Peripheral Nitrogen"
Maeda, H.; Ishikawa, Y.; Matsuda, T.; Osuka, A.; Furuta, H. J. Am. Chem. Soc. 2003, 125, 11822-11823 [Link] | ![]() |
| "Synthesis and Reaction of N-Confused Porphyrinatoantimony(V)"
Furuta, H.; Nagata, K.; Liu, J.-C. Kyushu Daigaku Chuo Bunseki Senta Hokoku 2003, 21, 13-19 | ![]() |
| "Hydrogen Bonding 1-D Chain Network of Doubly N-Confused Porphyrin"
Maeda, H.; Osuka, A.; Furuta, H. Supramol. Chem. 2003, 15, 447-450 (Cover) [Link] | ![]() |
| "Modulation of Axial Coordination in N-Confused Porphyrin-Antimony(V) Dibromide Complex by Proton Stimulus"
Liu, J.-C.; Ishizuka, T.; Osuka, A.; Furuta, H. Chem. Commun. 2003, 1908-1909 [Link] | ![]() |
| "2-Allenylbenzotriazole"
Maeda, H.; Osuka, A.; Furuta, H. Acta Crystgr., Sect. C, 2003, C59, o338-o339 [Link] | ![]() |
| "Syntheses, Structures, and Crystal Packing of N-Confused 5,20-Diphenylporphyrin
and Ag(III) Complex"
Furuta, H.; Morimoto, T.; Osuka, A. Org. Lett. 2003, 5, 1427-1430. [Link] | ![]() |
| "N-Confused Porphyrin Bearing meso-Perfluorophenyl Groups:
A Potential Agent that Forms Stable Square Planar Complexes with Cu(II) and Ag(III)"
Maeda, H.; Osuka, A.; Ishikawa, Y.; Aritome, I.; Hisaeda, Y.; Furuta, H. Org. Lett. 2003, 5, 1293-1296 [Link] | ![]() |
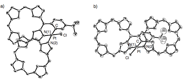
| "Facile Formation of N-Confused Porphyrin Dimers by Pt(II) Coordination to Outer-Nitrogens"
Furuta H.; Youfu, K.; Maeda, H.; Osuka A. Angew. Chem. Int. Ed. 2003, 44, 2186-2188 [Link] | ![]() |
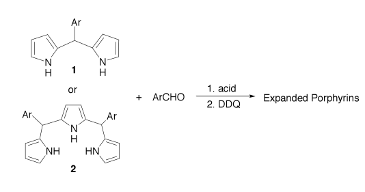
| "Ring Size Selective Synthesis of meso-Aryl Expanded Porphyrin"
Taniguchi, R.; Shimizu, S.; Suzuki, M.; Shin, J.-Y.; Furuta, H.; Osuka, A. Tetrahedron Lett. 2003, 44, 2505-2507 [Link] | ![]() |
| "Oligopyrrole-Based Solid State Self-Assemblies"
Sessler, J. L.; Berthon-Gellloz, G.; Gale, P. A.; Camiolo, S.; Anslyn, E.; Anzenbacher, P., Jr.; Furuta, H.; Kirkovits, G. J.; Lynch, V. M.; Maeda, H.; Morosini, P.; Scherer, M.; Shriver, J.; Zimmerman, R. S. Polyhedron 2003, 22, 2963-2983 [Link] | ![]() |
| "Doubly N-Confused Porphyrins as Efficient Sensitizer for Singlet Oxygen Generation"
Araki, K.; Engelmann, F. M.; Mayer, I.; Toma, H. E.; Baptista, M. S.; Maeda, H.; Osuka, A.; Furuta, H. Chem. Lett. 2003, 32, 244-245 [Link] | ![]() |
| "Doubly N-Confused Hexaphyrin: A Novel Aromatic Expanded Porphyrin that Complexes Bis-Metals in the Core"
Srinivasan, A.; Ishizuka, T.; Osuka, A.; Furuta, H. J. Am. Chem. Soc. 2003, 125, 878-879 [Link] | ![]() |
| "Zinc Complex of N-Confused Calix[4]phyrin"
Furuta, H.; Ishizuka, T.; Osuka, A. Inorg. Chem. Commun. 2003, 6, 398-401 [Link] | ![]() |
| "Chemistry of N-Confused Porphyrin: A Novel Porphyrin Isomer"
Furuta, H.; Maeda, H. Oleoscience, 2003, 3 (2), 77-82 [Link] | ![]() |
| "Crystal Structures of Palladium(II) and Copper(II) Complexes of
meso-Phenyl Tripyrrinone"
Furuta, H.; Maeda, H.; Osuka, A. Inorg. Chem. Commun. 2003, 6, 162-164 [Link] | ![]() |
| "Perfluorinated meso-Aryl Expanded Porphyrins"
Shimizu, S.; Shin, J.-Y.; Furuta, H.; Ismael, R.; Osuka, A. Angew. Chem. Int. Ed. 2003, 42, 78-82 [Link] | ![]() |
(2002)
| "Quinoxaline-Bridged Porphyrinoids"
Sessler, J. L.; Maeda, H.; Mizuno, T.; Lynch, V. M.; Furuta, H. J. Am. Chem. Soc. 2002, 124, 13474-13479 [Link] | ![]() |
| "Confusion, Inversion, and Creation- A New Spring from Porphyrin Chemistry"
Furuta, H.; Maeda, H.; Osuka, A. Chem. Commun. 2002, 1795-1804 (Feature Article) (cover) [Link] | ![]() |
| "Efficient Synthesis of Benzene-Centered Cyclic Porphyrin Hexamers"
Takase, M.; Ismael, R.; Murakami, R.; Ikeda, M.; Kim, D.; Shinmori, H.; Furuta,H.; Osuka, A. Tetrahedron Lett. 2002, 43, 5157-5159 [Link] | ![]() |
| "Effective Face-to-face Dimerization of a Crown Ether Appended N-Confused Porphyrin"
Shinmori, H.; Furuta, H.; Osuka, A. Tetrahedron Lett. 2002, 43, 4881-4884 [Link] | ![]() |
| "Flexible Inner and Outer Coordination of Zn(II) N-Confused Porphyrin Complex"
Furuta, H.; Ishizuka, T.; Osuka, A. J. Am. Chem. Soc. 2002, 124, 5622-5623 [Link] | ![]() |
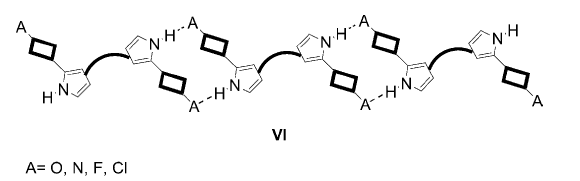
| "Quinoxaline-Oligopyrroles: Improved Pyrrole-Based Anion Receptors"
Sessler, J. L.; Maeda, H.; Mizuno, T.; Lynch, V. M.; Furuta, H. Chem. Commun. 2002, 862-863 [Link] | ![]() |
| "Regioselective Oxidative Liberation of Aryl-Substituted Tripyrrinone Metal Complexes from N-Confused Porphyrin"
Furuta, H.; Maeda, H.; Osuka, A. Org. Lett. 2002, 4, 181-184 [Link] | ![]() |
(2001)
| "Theoretical Study of Stability, Structures, and Aromaticity of Multiply N-Confused Porphyrins"
Furuta, H.; Maeda, H.; Osuka, A. J. Org. Chem. 2001, 66, 8563-8572 [Link] | ![]() |
| "Directly Linked Dehydropurpurin-Porphyrin Dyads from Ag(I)-promoted Oxidation
of meso-Phenylethynyl Substituted Zinc(II) Porphyrins"
Nakano, A.; Aratani, N.; Furuta, H.; Osuka, A. Chem. Commun. 2001, 1920-1921 [Link] | ![]() |
| "Syntheses, Structural Characterizations, and Optical and Electrochemical Properties of Directly Fused Diporphyrins"
Tsuda, A.; Furuta, H.; Osuka, A. J. Am. Chem. Soc. 2001, 123, 10304-10321 [Link] | ![]() |
| "The First Bis-Rh(I) Metal Complex of N-Confused Porphyrin"
Srinivasan, A.; Furuta, H.; Osuka, A. Chem. Commun. 2001, 1666-1667 [Link] | ![]() |
| "Meso-Aryl Substituted Expanded Porphyrins"
Shin, J.-Y.; Furuta, H.; Yoza, K.; Igarashi, S.; Osuka, A. J. Am. Chem. Soc. 2001, 123, 7190-7191 [Link] | ![]() |
| "Oxyindolophyrin: A Novel Fluoride Receptor Derived from N-Confused Corrole Isomer"
Furuta, H.; Maeda, H.; Osuka, A. J. Am. Chem. Soc. 2001, 123, 6435-6436 [Link] | ![]() |
| "NH Tautomerism of N-Confused Porphyrin"
Furuta, H.; Ishizuka, T.; Osuka, A.; Dejima, H.; Nakagawa, H.; Ishikawa, Y. J. Am. Chem. Soc. 2001, 123, 6207-6208 [Link] | ![]() |
| "N-Confused Expanded Porphyrin: First Example of a Modified Sapphyrin with an Inverted N-Confused Pyrrole Ring"
Pushpan, S. K.; Srinivasan, A.; Anand, V. G.; Venkatraman, S.; Chandrashekar,T. K.; Joshi, B. S.; Roy, R.; Furuta, H. J. Am. Chem. Soc. 2001, 123, 5138-5139 [Link] | ![]() |
| "Metal Complexes of an N-Confused Calix[4]phyrin Derivative-The First X-ray Structure of Organometallic Compound of Divalent Copper"
Furuta, H.; Ishizuka, T.; Osuka, A.; Uwatoko, Y.; Ishikawa, Y. Angew. Chem. Int. Ed. 2001, 40, 2323-2325 [Link] | ![]() |
| "Acid-Base and Spectroelectrochemical Properties of Doubly N-Confused Porphyrins"
Araki, K.; Winnischofer, H.; Toma, H.; Maeda, H.; Osuka, A.; Furuta, H. Inorg. Chem. 2001, 40, 2020-2025 [Link] | ![]() |
| "N-Fused Pentaphyrin"
Shin, J.-Y.; Furuta, H; Osuka, A. Angew. Chem. Int. Ed. 2001, 40, 619-621 [Link] | ![]() |






























































